Yuk Lihat Surat Pengajuan Pensiun Dini. Contoh surat pengajuan pensiun dini pns fill online printable fillable blank pdffiller. surat pengajuan pensiun dini. download surat permohonan pensiun dini. surat permohonan pensiun. 14 contoh surat berhenti kerja swasta kumpulan contoh surat. 8 contoh surat pengajuan yang baik dan benar. blangko permohonan pensiun dini Baca juga: Surat
Blangko Permohonan Pensiun Dini


8 Contoh Surat Pengajuan Yang Baik Dan Benar

14 Contoh Surat Berhenti Kerja Swasta Kumpulan Contoh Surat
Surat Permohonan Pensiun

Contoh Surat Pengantar Dari Kepala Sekolah Untuk Pengajuan Pensiun Nusagates
Download Surat Permohonan Pensiun Dini

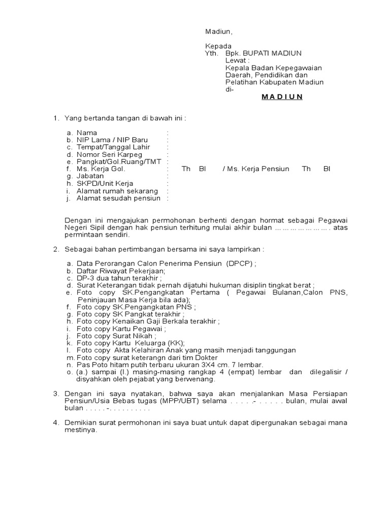
Contoh Surat Pengajuan Pensiun Dini Pns Fill Online Printable Fillable Blank Pdffiller
Download Contoh Surat Pensiun Dini
S Pilkada2017 Kpu Go Id Download Calon 2731 2731 Surat Pernyataan Berhenti 1 Pdf
Surat Pengajuan Pensiun Dini

Contoh Surat Pengajuan Pensiun Dini Karyawan Swasta Kumpulan Surat Penting
Permohonan Pensiun Dini
Inilah Surat Pengajuan Pensiun Dini, Contoh surat pengajuan pensiun dini pns fill online printable fillable blank pdffiller surat pengajuan pensiun dini download surat permohonan pensiun dini surat permohonan pensiun 14 contoh surat berhenti kerja swasta kumpulan contoh surat 8 contoh surat pengajuan yang baik dan benar blangko permohonan pensiun dini contoh surat pengajuan pensiun dini karyawan swasta kumpulan surat penting permohonan pensiun dini download contoh surat pensiun dini
Komentar
Posting Komentar